近日,澳门巴黎人官网
硕士研究生王锁宁与导师吕候军教授课题组的关于千新星的研究工作以“The colour evolution of magnetar-powered kilonova emission in merging neutron star–neutron star systems”为题发表在期刊Monthly Notices of the Royal Astronomical Society上。
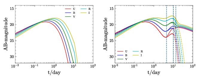
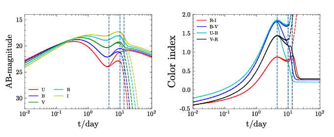
该研究聚焦多信使天文学领域关键问题:自 GW170817 引力波事件及电磁对应体被发现后,如何通过电磁辐射识别双中子星合并遗迹仍未解决。团队构建千新星能量来源模型,综合考虑重元素放射性衰变、磁星自转能衰减及脉冲星风云(PWN)三类能量贡献,通过数值模拟计算千新星在 U、B、V、R、I 等波段的光变曲线与颜色指数(CI)演化。研究发现,千新星颜色演化呈现显著差异:若中心引擎为黑洞(如 NS-NS 或中子星 - 黑洞合并直接形成),千新星仅由放射性衰变供能,峰值前无明显颜色演化,峰值后则快速增强;若中心引擎为磁星或稳定中子星,千新星能量来自三类来源叠加,峰值后颜色演化受磁星自转能量与自转衰减时标影响,后期趋于稳定常数,且 PWN 主导阶段会使颜色演化呈现 “下降后恒定” 特征。此外,研究评估了当前及未来望远镜的探测潜力,指出JWST、Roman以及 LSST等设备,可在 100 兆秒差距范围内探测到此类千新星的多波段辐射与颜色演化。该成果为揭示短伽马暴起源、双致密天体合并遗迹性质提供关键观测依据,也为未来 SVOM 等空间任务开展千新星深度观测、探索短伽马暴中心引擎机制奠定理论基础。

图1:r 波段光曲线,考虑了能量来源r-process,旋转能和有无PWN的贡献;
图2:考虑到多种能量来源,千新星的光曲线(左)以及颜色演化(右)。
论文作者:王锁宁(硕士生),吕候军(唯一通讯作者),刘小璇(硕士生), Rice Jared,任佳,梁恩维。
论文链接://academic.oup.com/mnras/article/542/4/2857/8240256